Cách ghi nhận xét học bạ lớp 1 theo Thông tư 27 Mẫu nhận xét học bạ lớp 1 năm 2024 - 2025
Cách ghi nhận xét học bạ lớp 1 theo Thông tư 27 năm 2025 giúp thầy cô tham khảo, có thêm nhiều kinh nghiệm để ghi những lời nhận xét, đánh giá cho học sinh lớp 1 thật sát sao...
Sơ đồ tư duy Chữ người tử tù - Nguyễn Tuân
Học thông qua sơ đồ tư duy giúp các em tiếp thu bài nhanh chóng và hiệu quả. Chính vì thế, Đọc tài liệu xin gửi tới tài liệu sơ đồ tư duy Chữ người tử tù của Nguyễn Tuân,...
Phân tích bài thơ Chạy giặc
Dàn ý I. Mở bài: - Giới thiệu hoàn cảnh sáng tác: Năm 1859, thực dân Pháp đánh chiếm Gia Định, Nguyễn Đình Chiểu viết bài Chạy giặc. - Dẫn đề (ghi lại bài thơ). - Chuyển mạch: phân tích,...
Đánh giá Trường THPT Trần Hưng Đạo - Hà Đông có tốt không?
Trường THPT Trần Hưng Đạo - Hà Đông là một ngôi trường đã trải qua hơn 35 năm xây dựng và phát triển, hiện nay ngôi trường này đang được rất nhiều bậc phụ huynh và các em học sinh...
Mẫu powerpoint họp phụ huynh cuối năm ấn tượng
PowerPoint họp phụ huynh cuối năm đóng vai trò quan trọng trong việc truyền tải thông tin về tình hình học tập, rèn luyện của học sinh đến phụ huynh một cách rõ ràng, chuyên nghiệp. Một mẫu slide ấn...
Soạn bài Đồng dao mùa xuân - Kết nối tri thức 7 Ngữ văn lớp 7 trang 40 sách Kết nối tri thức tập 1
Download.vn sẽ giới thiệu tài liệu Soạn văn 7: Đồng dao mùa xuân cung cấp những kiến thức hữu ích đến bạn đọc. Soạn bài Đồng dao mùa xuân Nội dung tài liệu sẽ giúp ích cho...
10 bài văn tả ngôi nhà của em ngắn gọn nhất lớp 3, 5 9 điểm
Nhà là nơi chúng ta lớn lên cùng với bao kỷ niệm tươi đẹp. Hãy cùng Tài Liệu Học Tập viết bài văn miêu tả ngôi nhà của em ngắn gọn, hay nhất với 10 mẫu dưới đây nhé. Những...
(10 mẫu) Tóm tắt tác phẩm Vợ chồng A Phủ cực hay
Tóm tắt văn bản Vợ chồng A Phủ của nhà văn Tô Hoài được Hoatieu chia sẻ trong bài viết sau đây bao gồm tổng hợp các mẫu tóm tắt Vợ chồng A Phủ ngắn nhất, tóm tắt Vợ chồng...
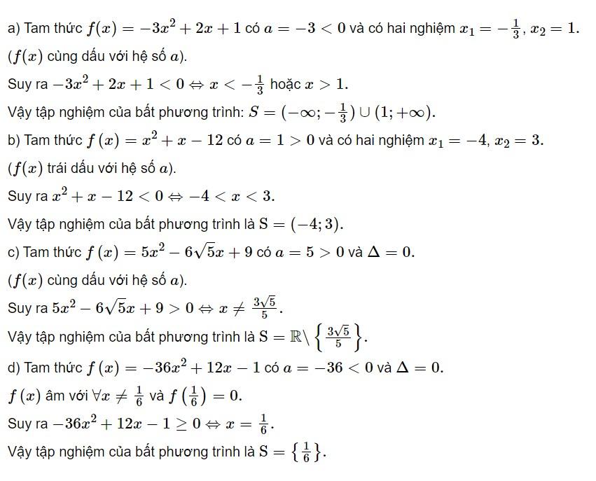
Cách giải bất phương trình – Đầy đủ Lý thuyết và Bài tập
Ở cấp Trung học Cơ sở, các em học sinh khối 8 được cho là học nặng nhất bởi các em phải tiếp xúc với rất nhiều dạng toán mới như hằng đẳng thức ở đại số, các dạng hình...
34 Bài thơ về tình cảm anh chị em trong nhà hay, ý nghĩa, cảm động nhất
Với 34 bài thơ về tình cảm anh chị em trong nhà hay, ý nghĩa, cảm động nhất là một tuyển tập thơ vô cùng đặc sắc, mà GenZ Làm Đẹp dành tặng những trái tim yêu thương gia đình....
Ngày 25/11 là ngày gì? Các sự kiện lịch sử diễn ra vào ngày 25/11
Sự kiện trong nước diễn ra trong ngày 25/11Ngày 25/11/1945: Trung ương Đảng ra chỉ thị: "Kháng chiến và kiến quốc". Văn kiện quan trọng này đã xác định cách mạng nước ta vẫn là Cách mạng giải phóng dân...
19/10 là ngày gì? Ngày 19/10 thuộc cung hoàng đạo nào?
Đứng trước thắc mắc 19/10 là ngày gì? Bạn có thể tò mò về ý nghĩa đằng sau cũng như những sự kiện đặc biệt diễn ra trong ngày này. Riêng với một số người thì ngày 19 tháng 10...
Đất phèn là gì? Cách cải tạo đất phèn an toàn và hiệu quả nhất cho trồng trọt và nuôi tôm
Đất bị nhiễm phèn là một trong những yếu tố ảnh hưởng nghiêm trọng đến nguồn đất, nước, sinh vật, làm giảm chất lượng và năng suất trong nông nghiệp và thủy sản. Vậy đất phèn là gì? Nguyên nhân...
Bộ Công an (Việt Nam)
Bộ Công an Việt NamChính phủ Việt NamBộ trưởng đương nhiệmtừ 6 tháng 6 năm 2024Bổ nhiệm bởiChủ tịch nước Việt NamNhiệm kỳ5 nămThành lập19 tháng 8 năm 1945 (de facto)Khẩu hiệuBảo vệ An ninh Tổ quốc [1]Bộ trưởng đầu...