Một người kĩ sư thiết kế một đường hầm một chiều có mặt cắt là một nửa hình elip
Sách bài tập Toán 10 Bài 22: Ba đường conic Bài 7.35 trang 46 Sách bài tập Toán lớp 10 Tập 2: Một người kĩ sư thiết kế một đường hầm một chiều có mặt cắt là một nửa hình...
Tín Thuế Trẻ Em và Khoản Ứng Trước Tín Thuế Trẻ Em Năm 2021 — Chủ Đề N: Gửi Lại Khoản Thanh Toán
A1. Quý vị nên gửi lại khoản thanh toán sớm nhất có thể bằng cách làm theo các hướng dẫn dưới đây. Nếu khoản thanh toán là chi phiếu giấy chưa được chuyển đổi thành tiền mặt: Viết chữ...
Tổng hợp những thông tin quan trọng về đề thi Toán THPT Quốc gia 2023
1. Tham khảo đề thi toán THPT Quốc gia 2022 Đề thi toán THPT Quốc gia 2022 chính thức gồm nhiều mã đề khác nhau. Tuy nhiên trong bài viết này, VUIHOC sử dụng 1 mã đề để minh họa...
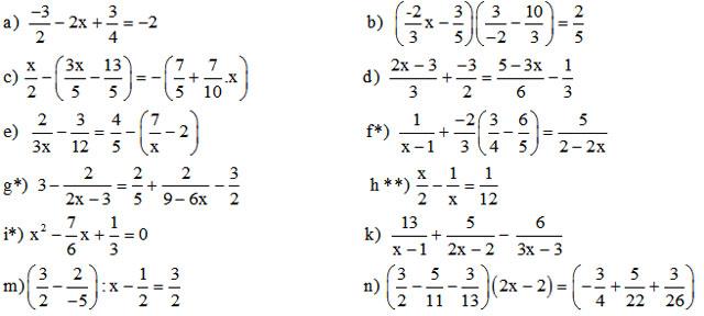
Bài tập về số hữu tỉ
VnDoc gửi tới các bạn Bài tập về số hữu tỉ tổng hợp các bài toán về các phép tính cộng, trừ, nhân, chia số hữu tỉ, giúp các em học sinh củng cố lại kiến thức, luyện tập nhằm...
Xem tài liệu
Bài viết này chúng tôi Giải đáp học sinh - Bài toán giá trị lớn nhất của môđun số phức - Thầy Đặng Thành Nam Câu hỏi được trích từ đề thi KHTN Hà Nội lần 4 năm 2017, các...
Bất đẳng thức Cô si
Trong chương trình Toán lớp 9, bất đẳng thức là một mảng kiến thức vừa quan trọng vừa “khó nhằn” đối với nhiều học sinh, đặc biệt trong các đề thi vào lớp 10 THPT. Trong số đó, bất đẳng...
Các bài toán về Tỉ số phần trăm (Ôn thi vào lớp 6)
Nhằm mục đích giúp học sinh nắm vững được cấu trúc và các dạng toán hay có trong đề thi vào lớp 6 môn Toán, VietJack biên soạn tài liệu Các bài toán về Tỉ số phần trăm có lời...
Cách giải phương trình chứa ẩn dưới dấu căn (cực hay, chi tiết)
Bài viết Cách giải phương trình chứa ẩn dưới dấu căn với phương pháp giải chi tiết giúp học sinh ôn tập, biết cách làm bài tập Cách giải phương trình chứa ẩn dưới dấu căn. Cách giải phương trình...
Toán 6 Kết nối tri thức Bài 33: Điểm nằm giữa hai điểm. Tia
Với giải bài tập Toán lớp 6 Bài 33: Điểm nằm giữa hai điểm. Tia sách Kết nối tri thức hay nhất, chi tiết giúp học sinh dễ dàng làm bài tập Toán 6 Hình học Bài 33. Giải Toán...
Dấu của nhị thức bậc nhất
Bài viết hướng dẫn phương pháp giải các dạng toán liên quan đến dấu của nhị thức bậc nhất như xét dấu biểu thức chứa nhị thức bậc nhất, ứng dụng xét dấu nhị thức bậc nhất trong việc giải...
Trọng tâm kiến thức và các dạng bài tập môn Toán 7
Tài liệu gồm 319 trang, bao gồm trọng tâm kiến thức và các dạng bài tập môn Toán 7 từ cơ bản đến nâng cao. Chương 1. SỐ HỮU TỈ 1. §1 - TẬP HỢP CÁC SỐ HỮU TỈ...
ÔN TẬP VỀ DÃY SỐ VIẾT THEO QUY LUẬT VÀ BÀI TẬP VẬN DỤNG - TOÁN NÂNG CAO LỚP 6
Để giải quyết bài toán thuộc dạng dãy số viết theo quy luật ta có thể sử dụng 04 phương pháp sau: Phương pháp dự đoán và quy nạp; Phương pháp khử liên tiếp; Phương pháp giải phương trình với...
Bật mí những giải pháp để môn Toán không còn là nỗi lo ôn thi
NTTU - Toán là một môn thi bắt buộc trong kỳ thi tốt nghiệp THPT, đồng thời cũng chiếm vị trí ở nhiều tổ hợp môn xét tuyển đại học. Chính vì thế, Toán luôn gây ra nhiều lo lắng...
Sách liên quan
Nội dung sách- Gồm các chuyên đề lý thuyết trọng tâm và những lưu ý quan trọng nhất về Tư duy Toán học, bám sát chương trình SGK mới và xu hướng ra đề thi TSA 2025- Tập 2 gồm...