Bộ GD&ĐT phối hợp với công an điều tra thông tin lộ đề thi Toán tốt nghiệp THPT 2021
Chiều 7/7, trên mạng xã hội xôn xao thông tin đề thi môn Toán kỳ thi tốt nghiệp THPT năm 2021 "lọt" ra ngoài trong thời gian thí sinh đang làm bài.Theo đó, khi chưa hết giờ làm bài, hình...
Đề thi học kì 1 lớp 7 môn toán và hướng dẫn giải chi tiết
1. Ma trận đề thi học kì 1 lớp 7 môn toán tham khảo Dưới đây là mẫu ma trận đề thi học kỳ 1 môn Toán lớp 7 tham khảo. Ma trận này được thiết kế để phản...
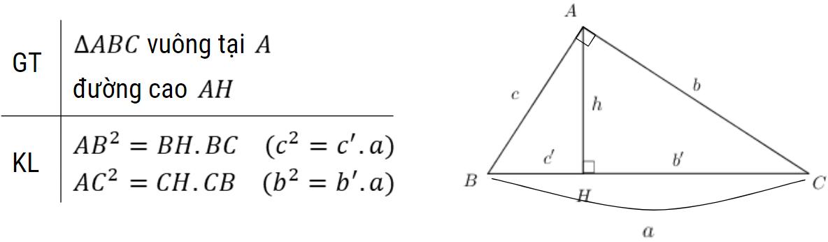
Ôn tập hệ thức lượng trong tam giác lớp 9
n1. Một số hệ thức về cạnh và đường cao trong tam giác vuôngn1.1. Hệ thức giữa cạnh góc vuông và hình chiếu của nó trên cạnh huyềnnĐịnh lý 1: Trong một tam giác vuông, bình phương mỗi cạnh góc...
Đề thi học kì 1 Tiếng Anh 8 Global Success - Đề số 1
Bài nghe: Part 1: 1. What time will the taxi arrive at the woman’s house? A: Tommy’s taxi company. B: Hello. I need a taxi to go to the city airport tomorrow. My plane leaves at 07:30. A: So you’ll...
Lý thuyết Tổng hợp chương Đạo hàm lớp 11 (hay, chi tiết)
Bài viết Lý thuyết Tổng hợp chương Đạo hàm lớp 11 hay, chi tiết giúp bạn nắm vững kiến thức trọng tâm Lý thuyết Tổng hợp chương Đạo hàm. Lý thuyết Tổng hợp chương Đạo hàm(199k) Xem Khóa học Toán...
Trọn bộ 20 đề thi tiếng Anh lớp 8 học kì 2
n[%Included.Dangky%]n1. Đề thi tiếng Anh lớp 8 học kì 2 Global SuccessnTại TAK12, học sinh có thể làm online các đề thi tiếng Anh lớp 8 học kì 2 được biên soạn bám sát với chương trình sách giáo khoa...
Toán 6 Kết nối tri thức Bài 7: Thứ tự thực hiện các phép tính
Với giải bài tập Toán lớp 6 Bài 7: Thứ tự thực hiện các phép tính sách Kết nối tri thức hay nhất, chi tiết giúp học sinh dễ dàng làm bài tập Toán 6 Bài 7. Giải Toán 6...
Đề thi Tiếng Anh vào 10 Hà Nội 2023 có đáp án mã đề thi 011 file word và pdf
SỞ GIÁO DỤC VÀ ĐÀO TẠO HÀ NỘI(Đề thi có 04 trang, thí sinh làm bài vào Phiếu trả lời trắc nghiệm) KỲ THI TUYỂN SINH LỚP 10 THPTNĂM HỌC 2023-2024Môn thi: Tiếng Anh; Ngày thi: 10/06/2023Thời gian làm bài:...
Các dạng bài tập viết phương trình đường thẳng trong không gian – Nguyễn Thị Thu
Tài liệu gồm 19 trang hướng dẫn giải các dạng toán viết phương trình đường thẳng trong không gian. Trong chương trình Hình học 12, bài toán viết phương trình đường thẳng trong không gian là bài toán hay và...
Đề cương Toán 9 năm 2025 | Đề cương ôn tập Toán 9 (có lời giải)
Trọn bộ đề cương ôn tập Toán 9 năm 2025 mới nhất của cả ba bộ sách Kết nối tri thức, Chân trời sáng tạo, Cánh diều đầy đủ Học kì 1, Học kì 2 với bài tập trắc nghiệm,...
Chuyên đề vectơ môn Toán 10 chương trình mới – Phan Nhật Linh
Tài liệu gồm 248 trang, được biên soạn bởi thầy giáo Phan Nhật Linh, bao gồm lý thuyết cần nhớ, phân loại và phương pháp giải toán chuyên đề vectơ môn Toán 10 chương trình mới. Bài tập rèn luyện...
Tính tích phân bằng phương pháp đổi biến số
Bài viết hướng dẫn tính tích phân bằng phương pháp đổi biến số, gồm đổi biến số dạng 1, đổi biến số dạng 2 và một số bài toán sử dụng phương pháp đổi biến số đặc biệt; trong mỗi...
Giáo án toán 10 kết nối bài 15: Hàm số (4 tiết)
Ngày soạn: .../.../...Ngày dạy: .../.../...CHƯƠNG vI: HÀM SỐ, ĐỒ THỊ VÀ ỨNG DỤNGBÀI 15: HÀM SỐ (4 tiết)MỤC TIÊU: Kiến thức: Học xong bài này, HS đạt các yêu cầu sau:Nhận biết được những mô hình thực tế (dạng bảng,...
13 Bài tập Tính đơn điệu của hàm số (có đáp án) - Cánh diều Trắc nghiệm Toán 12
Với 13 bài tập trắc nghiệm Tính đơn điệu của hàm số Toán 12 có đáp án và lời giải chi tiết đầy đủ các mức độ, có đúng sai, trả lời ngắn sách Cánh diều sẽ giúp học sinh...