Hàm số bậc hai. Đồ thị hàm số bậc hai và ứng dụng lớp 10 (Lý thuyết Toán 10 Cánh diều)
Với tóm tắt lý thuyết Toán 10 Bài 2: Hàm số bậc hai. Đồ thị hàm số bậc hai và ứng dụng sách Cánh diều hay nhất, chi tiết sẽ giúp học sinh nắm vững kiến thức trọng tâm, ôn...
(5 dạng) Bài tập Sự tương giao của đồ thị hàm số ôn thi Tốt nghiệp
Bài viết Sự tương giao của đồ thị hàm số ôn thi Tốt nghiệp môn Toán với phương pháp giải chi tiết giúp học sinh ôn tập, biết cách làm bài tập Sự tương giao của đồ thị hàm số....
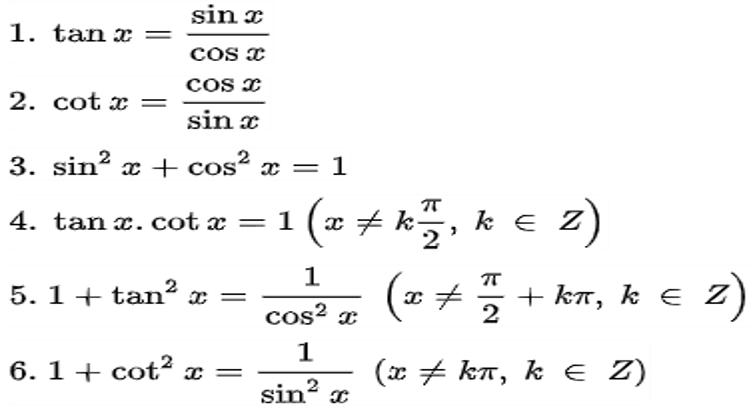
Công thức lượng giác lớp 11 cơ bản – nâng cao
Công thức lượng giác lớp 11 từ cơ bản đến nâng cao, giúp các bạn học sinh có thể nắm được chi tiết từ đó đạt được kết quả cao trong các kì thi sắp tới. Tham khảo thêm: ...
Tuyển sinh 2022: Đề tham khảo thi đánh giá năng lực trường ĐH Sư phạm Hà Nội
[divider] [/divider] Kỳ tuyển sinh năm 2022, trường ĐH Sư phạm Hà Nội tuyển sinh theo 5 phương thức, trong đó dành một phần chỉ tiêu xét tuyển bằng điểm thi đánh giá năng lực do nhà trường tổ chức....
Sáng kiến kinh nghiệm Biến đổi các biểu thức hữu tỉ. Giá trị của phân thức
3. Mô tả bản chất của sáng kiến:3.1. Tình trạng giải pháp đã biết: Sau nhiều năm trực tiếp giảng dạy học sinh và bồi dưỡng đội tuyển học sinh giỏi lớp 8, 9 tôi nhận thấy trong việc...
THÔNG BÁO TUYỂN SINH VÀO LỚP 10 THPT NĂM HỌC 2021-2022
I. KẾ HOẠCH TUYỂN SINH: 1. Chỉ tiêu tuyển sinh vào lớp 10 năm học 2021-2022: 12 lớp với 540 học sinh2. Đối tượng tuyển sinh: Học sinh đúng độ tuổi và theo Quy chế tuyển sinh3. Từ ngày 26/4/2021:...
Tổng hợp kiến thức toán 8 học kì 1 và 2 có file PDF tải về
Việc nhớ chính xác một công thức Toán lớp 8 trong hàng trăm công thức không phải là việc dễ dàng. Với mục đích giúp học sinh dễ dàng hơn trong việc nhớ công thức và lý thuyết tài liệu...
Sách bài tập Toán 7 (tập 2) (Cánh Diều)
Sách bài tập Toán 7 (tập 2) (Cánh Diều) gồm 126 trang, được biên soạn bởi tác giả Đỗ Đức Thái. LỜI NÓI ĐẦU: Sách Bài tập Toán 7 (gồm hai tập) được biên soạn tương thích với sách giáo...
Ôn thi Toán tốt nghiệp THPT Quốc gia như thế nào để đạt điểm cao?
1. Tổng hợp kiến thức Toán ôn thi tốt nghiệp THPT Quốc gia Dưới đây là liệt kê lại kiến thức Toán thi THPT Quốc gia bao gồm các chuyên đề trọng tâm trong chương trình THPT có thể sẽ...
Đề thi giữa kì 1 Tiếng Anh 9 Global Success - Đề số 1
Bài nghe: Van Phuc is a traditional silk weaving village in Ha Noi. It is known for its silk products and skilled craftsmanship. The village is characterised by its narrow streets lined with old houses. They are also used as...
Công bố đề khảo sát lớp 6 của ba trường 'hot' ở TP Thủ Đức
Thí sinh dự khảo sát lớp 6 tại điểm khảo sát Trường THCS Bình Thọ - Ảnh: HOA ÉNTheo đó, kỳ khảo sát vào lớp 6 của 3 trường THCS: Trần Quốc Toản 1, Hoa Lư, Bình Thọ diễn ra...
50 Đề minh họa Tốt nghiệp THPT 2025 môn Sinh học PDF miễn phí – Moon
50 Đề minh họa Tốt nghiệp THPT 2025 môn Sinh học PDF là tài liệu ôn luyện đặc biệt dành cho học sinh lớp 12 theo chương trình GDPT 2025 mới. Cuốn sách được biên soạn bởi TS. Phan Khắc...
Đề Thi Thử Tốt Nghiệp THPT 2024 Môn Toán Có Lời Giải Chi Tiết
Tổng hợp các đề thi thử tốt nghiệp THPT Quốc gia năm 2024 môn Toán có đáp án và lời giải chi tiết của các trường THPT và các sở Giáo dục và Đào tạo trên toàn quốc. Đáp án...