Phổ điểm thi
5. Phổ điểm kỳ thi đánh giá năng lực tháng Ba năm 2025 Bài thi đánh giá năng lực học sinh trung học phổ thông (HSA) năm 2025 của Đại học Quốc gia Hà Nội (ĐHQGHN) gồm 3 phần: Phần...
Mẹo và thủ thuật để kiểm chứng các đẳng thức lượng giác + Bài tập thực hành
Chứng minh các đẳng thức lượng giác đúng là một khái niệm khá khó trong môn lượng giác. Đây là một vài mẹo nhỏ của mình khi chứng minh các đẳng thức lượng giác. Hãy nhớ...
Phép cộng và phép trừ số nguyên lớp 6 (Lý thuyết Toán 6 Kết nối tri thức)
Với tóm tắt lý thuyết Toán lớp 6 Bài 14: Phép cộng và phép trừ số nguyên hay nhất, chi tiết sách Kết nối tri thức sẽ giúp học sinh nắm vững kiến thức trọng tâm, ôn luyện để học...
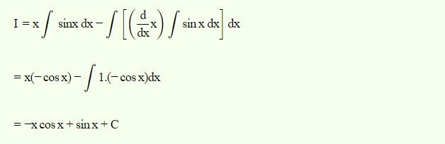
Công thức tính nguyên hàm từng phần và cách giải bài tập
1. Lý thuyết nguyên hàm từng phần 1.1. Khái niệm nguyên hàm từng phần Nguyên hàm từng phần chính là phương pháp giải các dạng bài toán 12 nguyên hàm. Khi cho hai hàm số u = u(x), v =...
Bài tập hằng đẳng thức lớp 8 Ôn tập Toán 8 (Có đáp án)
Bài tập hằng đẳng thức là tài liệu vô cùng hữu ích tổng hợp kiến thức lý thuyết và nhiều dạng câu hỏi với nhiều mức độ khác nhau có đáp án giải chi tiết kèm theo tự luyện. ...
Tìm m để hàm số có tiệm cận đứng
Tìm m để hàm số có tiệm cận đứng là một trong những dạng câu xuất hiện rất nhiều trong các đề thi, đề kiểm tra. butbi.hocmai.vn đã tổng hợp lại trong bài viết này, cùng tham khảo nhé! Tham...
Đề ôn thi Đấu trường Vioedu lớp 7 cấp Huyện năm 2024 – 2025
Đề ôn thi Đấu trường Vioedu lớp 7 cấp Huyện năm 2024 - 2025 có đáp án đúng. Đăng ký bộ tài liệu ôn thi Đấu trường Vioedu lớp 7 năm 2024 - 2025 vui lòng liên hệ: Tel...
UBND tỉnh họp chuyên đề tháng 10
Ngày 23/10/2025, UBND tỉnh tổ chức họp chuyên đề tháng 10. Đồng chí Nguyễn Cảnh Toàn, Phó Bí thư Tỉnh ủy, Chủ tịch UBND tỉnh chủ trì phiên họp. Tham dự cuộc họp có lãnh đạo HĐND tỉnh, Ủy ban...
Nguyên hàm-tích phân hàm ẩn
Về một lớp những bài toán sử dụng các kết quả đạo hàm để tạo ra những nguyên hàm hàm ẩn thú vị.Thầy cô cũng có thể sử dụng kĩ thuật này để tạo ra một số bài tập nguyên...
Chuyên đề cấp Quận : Ứng dụng thực tế các tỉ số lượng giác của góc nhọn
Thực hiện nhiệm vụ năm học 2020-2021 và Kế hoạch chuyên môn - môn Toán lớp 9- của Phòng Giáo dục và Đào tạo quận Hoàn Kiếm, Tổ tự nhiên,nhóm Toán trường THCS Thanh Quan nói chung cùng với cô...
Sự khác biệt giữa phương trình và hàm số.
Chào bạn. Hồi nãy tớ nghĩ về toán và nhận ra có nhiều thuật ngữ mà tớ cứ mặc định hiểu nghĩa của nó. Hai từ như vậy là "hàm số" và "phương trình". Chúng được dùng thay thế cho...
Toán 7 Kết nối tri thức Bài 28: Phép chia đa thức một biến
Với giải bài tập Toán 7 Bài 28: Phép chia đa thức một biến sách Kết nối tri thức hay nhất, chi tiết giúp học sinh lớp 7 dễ dàng làm bài tập Toán 7 Bài 28. Giải Toán 7...
Trắc nghiệm Căn thức bậc hai và hằng đẳng thức (có đáp án)
Tài liệu bài tập trắc nghiệm Căn thức bậc hai và hằng đẳng thức lớp 9 có đáp án với các dạng bài tập cơ bản, nâng cao đầy đủ các mức độ: nhận biết, thông hiểu, vận dụng, vận...
Các dạng toán về căn bậc hai lớp 9 và cách giải
Với Các dạng toán về căn bậc hai lớp 9 và cách giải môn Toán lớp 9 sẽ giúp học sinh nắm vững lý thuyết, biết phương pháp làm các dạng bài tập từ đó có kế hoạch ôn tập...