Đề thi học kì 2 Toán 7 - Đề số 5 - Cánh diều
Đề bài I. TRẮC NGHIỆM (2 điểm) Hãy chọn phương án trả lời đúng và viết chữ cái đứng trước đáp án đó vào bài làm. Câu 1. Tam giác ABC có (BC = 1cm,{mkern 1mu} AC = 8cm.) Tìm...
Lý Thuyết Dấu Của Tam Thức Bậc Hai Và Các Dạng Bài Tập
1. Tam thức bậc hai là gì? Tam thức bậc hai có dạng tổng quát là: f(x) =$ax^{2}+bx+c$. Trong đó ta có x là biến. a, b, c là các hệ số, với a≠0. Ta có nghiệm của tam...
Bộ đề thi giữa kì 2 Toán 7 Kết nối tri thức Cấu trúc mới
Bộ đề thi giữa học kỳ 2 Toán 7 - Kết nối tri thức gồm 05 đề thi bám sát cấu trúc đổi mới cùng 08 đề theo cấu trúc truyền thống, giúp học sinh tiếp cận đa dạng các...
Tiếng Anh 6: Những nội dung thường xuyên xuất hiện trong đề thi cuối học kì I
Nhằm giúp học sinh đạt kết quả cao trong kì thi cuối học kì I, cô Đặng Bảo Vân- giáo viên môn Tiếng Anh sẽ giới thiệu các nội dung thường xuyên xuất hiện trong đề thi và phương pháp...
16+ Đề thi Giữa kì 2 Toán 10 Chân trời sáng tạo (có đáp án)
Với bộ 16+ Đề thi Giữa kì 2 Toán 10 Chân trời sáng tạo năm 2026 có đáp án theo cấu trúc mới được biên soạn và chọn lọc từ đề thi Toán 10 của các trường THPT trên cả...
Sài·gòn·eer
Nhiều người cho rằng nghệ thuật là thứ gì đó xa lạ, khó chạm tới, nhưng một khu vườn thì khác; ai cũng biết cách ngắm nhìn một bông hoa. Khi bước vào Không gian Lưu niệm Lê Bá Đảng...
20+ Bài tập trắc nghiệm Rút gọn phân thức lớp 8 (có đáp án)
Với bài tập trắc nghiệm Rút gọn phân thức lớp 8 có lời giải chi tiết sẽ giúp học sinh ôn tập, biết cách làm bài tập trắc nghiệm Rút gọn phân thức 20+ Bài tập trắc nghiệm Rút...
Bài 4.38 trang 87 Toán 7 Tập 1 | Kết nối tri thức Giải Toán 7.
Giải Toán 7 Bài tập cuối chương 4 Bài 4.38 trang 87 Toán 7 Tập 1: Cho tam giác ABC cân tại A có A^=120°. Trên cạnh BC lấy hai điểm M, N sao cho MA, NA lần lượt...
Giải Toán 7 trang 58 Tập 1 Kết nối tri thức
Với Giải Toán 7 trang 58 Tập 1 trong Luyện tập chung trang 58 Toán 7 Kết nối tri thức hay nhất, chi tiết sẽ giúp học sinh lớp 7 dễ dàng làm bài tập Toán 7 trang 58. Giải...
Đề toán thi vào lớp 10 TP.HCM, thí sinh đánh giá trái ngược nhau
Đề thi toán lớp 10 ở TP.HCMThí sinh "rối" với câu toán thực tế Tại điểm thi THCS Hồng Bàng, quận 5, TP.HCM, nhiều thí sinh nói các em làm bài thi không tốt. Một số học sinh lau nước...
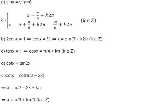
Tổng hợp các dạng bài tập phương trình lượng giác lớp 11
Tổng hợp các dạng bài tập phương trình lượng giác lớp 11 thường gặp để các bạn tham khảo. Tham khảo thêm: Công thức lượng giác lớp 11 Tổng hợp kiến thức toán 11 Các dạng bài tập...
Top 30 Đề thi Giữa kì 1 Toán 11 năm 2026 có đáp án
Trọn bộ 30 đề thi Giữa kì 1 Toán 11 theo cấu trúc mới sách mới Kết nối tri thức, Chân trời sáng tạo, Cánh diều có đáp án và ma trận sẽ giúp bạn ôn tập và đạt điểm...
Toán 11 Cánh diều Bài 2: Cấp số cộng
Với giải bài tập Toán 11 Bài 2: Cấp số cộng sách Cánh diều hay nhất, chi tiết giúp học sinh lớp 11 dễ dàng làm bài tập Toán 11 Bài 2. Giải Toán 11 Cánh diều Bài 2: Cấp...
Khả năng thực hiện bài kiểm tra định kì môn Toán và môn Ngữ văn cấp Trung học của công cụ ChatGPT: Kết quả nghiên cứu và một số khuyến nghị ban đầu
[1] Das, K, (2019), The role and impact of ICT in improving the quality of education: An overview, International Journal of Innovative Studies in Sociology and Humanities, 4(6), 97-103.[2] Xie, H., Chu, H. C., Hwang, G. J., & Wang, C....