Các trường hợp bằng nhau của hai tam giác thường (siêu hay)
Các trường hợp bằng nhau của hai tam giác thường (siêu hay) Bài viết Các trường hợp bằng nhau của hai tam giác thường hay, chi tiết Toán 7 gồm 2 phần: Lý thuyết và Các ví dụ áp dụng...
Vận dụng trang 32 Chuyên đề Toán 12 Kết nối tri thức
Giải Chuyên đề Toán 12 Bài 3: Vận dụng hệ bất phương trình bậc nhất hai ẩn để giải quyết một số bài toán quy hoạch tuyến tính - Kết nối tri thức Vận dụng trang 32 Chuyên đề Toán...
Tài liệu ôn thi THPT – Tóm tắt lý thuyết Toán 2026
Bạn đang loay hoay với hàng loạt công thức Toán học trước kỳ thi THPT? Bộ tài liệu ôn thi THPT - Tóm tắt lý thuyết Toán 2026 sẽ giúp bạn học nhanh, nhớ lâu, ôn tập đúng trọng tâm...
Bảng Nguyên Hàm Và Công Thức Nguyên Hàm Đầy Đủ, Chi Tiết
Nguyên hàm là một trong những chuyên đề quan trọng của Giải tích Toán 12 và thường xuất hiện nhiều trong các kì thi đại học. Vậy có những công thức nguyên hàm quan trọng nào cần nhớ? Team Marathon...
Lý thuyết Hình thoi lớp 8 (hay, chi tiết)
Bài viết Lý thuyết Hình thoi lớp 8 hay, chi tiết giúp bạn nắm vững kiến thức trọng tâm Lý thuyết Hình thoi. Lý thuyết Hình thoi lớp 8 (hay, chi tiết)(199k) Xem Khóa học Toán 8 KNTTXem Khóa học...
Công thức lượng giác là gì? Tổng hợp & Mẹo ghi nhớ chi tiết
Công thức lượng giác đóng vai trò quan trọng trong toán học, hỗ trợ giải quyết các bài toán phức tạp liên quan đến hình học và lượng giác. Việc nắm vững 1 số bài tập công thức lượng giác...
Trắc Nghiệm Bài 3 Hàm Số Lượng Giác Mức Thông Hiểu Giải Chi Tiết
Trắc nghiệm bài 3 Hàm số lượng giác mức thông hiểu giải chi tiết được soạn dưới dạng file word và PDF gồm 5 trang. Các bạn xem và tải về ở dưới. I. DẠNG 1: TÌM TẬP XÁC ĐỊNH...
NGÀNH GIÁO DỤC VÀ ĐÀO TẠO HẢI PHÒNG
Bộ trưởng Bộ Giáo dục và Đào tạo Nguyễn Kim Sơn phát biểu tại Hội nghị (Ảnh: Quang Vinh). Mới đây, tại Hội nghị Đoàn Chủ tịch Ủy ban Trung ương Mặt trận Tổ quốc Việt Nam, Bộ trưởng Bộ...
Đề thi kiểm tra Toán lớp 9 giữa học kì 2 trường THCS Hoàng Hoa Thám năm học 2022 -2023
Hệ thống lại kiến thức đã học trở nên dễ dàng hơn bao giờ hết, đơn giản bằng cách làm thêm Đề thi kiểm tra Toán lớp 9 giữa học kì 2 trường THCS Hoàng Hoa Thám năm học 2022...
13 Bài tập Tam giác đồng dạng (có đáp án) - Cánh diều Trắc nghiệm Toán 8
Với 13 bài tập trắc nghiệm Tam giác đồng dạng Toán lớp 8 có đáp án và lời giải chi tiết đầy đủ các mức độ, có đúng sai, trả lời ngắn sách Cánh diều sẽ giúp học sinh ôn...
TỔNG HỢP CÁC BÀI TOÁN PHÂN SỐ TRONG ĐỀ THI VÀO LỚP 6 CÁC TRƯỜNG CHẤT LƯỢNG CAO NĂM 2025
CÁC BÀI TOÁN LIÊN QUAN ĐẾN PHÂN SỐ TRONG ĐỀ THI VÀO 6 NĂM 2025 Câu 1. (THCS Trần Mai Ninh - Thanh Hóa năm 2025) Số 0,25 viết dưới dạng phân số thập phân là: Câu 2. (THCS Trần...
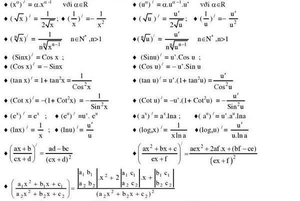
Đạo Hàm Của Hàm Số Lượng Giác: Lý Thuyết, Bảng Công Thức Và Bài Tập
1. Lý thuyết đạo hàm của hàm số lượng giác 1.1. Đạo hàm là gì? Trong giải tích toán học, đạo hàm của một hàm số là sự mô tả sự biến thiên của hàm số tại một...
Lý thuyết Ôn tập chương 1. Căn bậc hai. Căn bậc ba
1. Căn bậc hai số học+) Căn bậc hai của một số không âm là số (x) sao cho ({x^2} = a.)+) Số dương (a) có đúng hai căn bậc hai là (sqrt a ) (và gọi là căn bậc...
Ôn tập nguyên lý Dirichlet lớp 9
n1. Kiến thức cần nhớ về nguyên lý Dirichlet lớp 9n1.1. Nội dung nguyên lý DirichletnNguyên lý Dirichlet được phát biểu như sau: Không thể nhốt 7 con thỏ vào 3 cái lồng mà mỗi cái lồng có không quá...