Chuyên đề mũ và logarit – Đặng Việt Đông
TOANMATH.com giới thiệu đến bạn đọc tài liệu chuyên đề mũ và logarit (phiên bản đặc biệt) do thầy Đặng Việt Đông biên soạn, tài liệu gồm 506 trang phân dạng và tuyển chọn các bài tập trắc nghiệm chuyên...
Chuyên đề Kinh tế Pháp luật 10 trang 32 Chân trời sáng tạo
Với lời giải Chuyên đề Kinh tế Pháp luật 10 trang 32 trong Bài 4: Những vấn đề chung về doanh nghiệp nhỏ Chuyên đề học tập KTPL 10 Chân trời sáng tạo hay nhất, ngắn gọn sẽ giúp học...
ĐÁP ÁN - ĐỀ THI TUYỂN SINH VÀO LỚP 6 MÔN TOÁN TRƯỜNG THCS LƯƠNG THẾ VINH 2023-2024
Thầy/cô MATHX biên soạn gửi đến các em đề thi tuyển sinh vào lớp 6 Môn Toán trường THCS Lương Thế Vinh có đáp án kèm lời giải chi tiết nhằm giúp các em học sinh làm bài và ôn...
Chuyên đề Số thập phân lớp 6 (Kết nối tri thức)
Tài liệu chuyên đề Số thập phân Toán lớp 6 sách Kết nối tri thức gồm các dạng bài tập từ cơ bản đến nâng cao với phương pháp giải chi tiết và bài tập tự luyện đa dạng giúp...
Đề thi CPA 2022 Môn Kiểm toán và Dịch vụ đảm bảo nâng cao Có đáp án tham khảo
Đề thi CPA 2022 môn Kiểm toán như các năm trước nhìn chung dạng bài CPA môn kiếm toán sẽ rơi vào các dạng phổ biến như: lập kế hoạch và đánh giá rủi ro, đánh giá hệ thống kiểm...
200 Đề thi Toán 7 năm 2026 (cấu trúc mới, có đáp án)
Bộ 200 Đề thi Toán 7 năm 2026 mới nhất của cả ba bộ sách Kết nối tri thức, Cánh diều, Chân trời sáng tạo đầy đủ Học kì 1 và Học kì 2 gồm đề thi giữa kì, đề...
KSCL
KSCLBroadcast areaShreveport-Bossier City metropolitan areaFrequency91.3 MHzProgrammingLanguageEnglishFormatAlternative rockOwnershipOwnerLouisiana State University and A&M CollegeHistoryMarch 19, 1976 (1976-03-19)"Sentenary [sic] College of Louisiana"[a]Technical information[3]FCCFacility ID9758ClassAERP2,600 wattsHAAT56 metersLinksWebsitewww.centenary.edu/kscl/ KSCL (91.3 FM) is an alternative rock radio station broadcasting from the campus of Centenary College of...
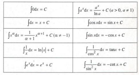
Ôn Tập Chương 3 Toán 12: Nguyên Hàm, Tích Phân Và Ứng Dụng
1. Nguyên hàm Ôn tập chương 3 toán 12 đại số có bao gồm lý thuyết về nguyên hàm. Cùng theo dõi ngay sau đây và ôn tập cùng VUIHOC nhé! 1.1 Các tính chất nguyên hàm Tính chất 1...
8 Cách học tốt hình học không gian vô cùng hiệu quả
Từ lâu, hình học không gian luôn là “nỗi ám ảnh” đối với nhiều thế hệ học sinh. Để giải quyết những bài toán “khó nhằn” này, ngoài việc nắm vững kiến thức, bạn cần biết cách vẽ hình một...
Lý thuyết và giải bài tập về bất đẳng thức Mincopxki
Trong chương trình Toán học phổ thông, chuyên đề bất đẳng thức là mảng kiến thức “khó nhằn” với rất nhiều dạng bài khác nhau. Để giải chính xác các dạng bài tập này, các em cần biết vận dụng...
Hội thảo chuyên đề: Các khoa học phân tích
Vào ngày 21/12/2017, khoa Khoa học Vật liệu Tiên Tiến và Công nghệ Nano-Trường Đại học Khoa học và Công nghệ Hà Nội - USTH (hay còn gọi là trường Đại học Việt-Pháp) đã phối hợp cùng Viện Hóa học...
Câu hỏi trang 29 Toán 8 Tập 2 | Kết nối tri thức Giải Toán 8
Giải Toán 8 Bài 25: Phương trình bậc nhất một ẩn - Kết nối tri thức Câu hỏi trang 29 Toán 8 Tập 2: Những phương trình nào sau đây là phương trình bậc nhất một ẩn? a) 2x +...
Đại lượng tỉ lệ nghịch| Toán 7 chương trình mới
1. Đại lượng tỉ lệ nghịch - Nếu đại lượng y liên hệ với đại lượng x theo công thức (a là một hằng số khác 0) thì ta nói y tỉ lệ nghịch với x theo hệ số...
Chương Trình Toán Lớp 10: Học Kì 1 & Học Kì 2 Chi Tiết
Các em học sinh đã nắm được nội dung chương trình Toán 10 chưa nhỉ? Lớp 10 là năm học khởi đầu của học sinh ở cấp trung học phổ thông. Bởi thế, những kiến thức toán lớp 10 hầu...