Các phép toán về phân thức đại số và cách giải bài tập (hay, chi tiết)
Bài viết Các phép toán về phân thức đại số và cách giải bài tập sẽ giúp học sinh nắm vững lý thuyết, biết cách làm bài tập từ đó có kế hoạch ôn tập hiệu quả để đạt kết...
Cách giải Phương trình bậc hai với một hàm số lượng giác cực hay
Bài viết Cách giải Phương trình bậc hai với một hàm số lượng giác với phương pháp giải chi tiết giúp học sinh ôn tập, biết cách làm bài tập Cách giải Phương trình bậc hai với một hàm số...
Tỉnh Nghệ An
Kỳ thi tuyển sinh vào lớp 10 năm nay có nhiều nét mới, trong đó, lần đầu tiên Nghệ An áp dụng tính điểm 1 hệ số bằng nhau với cả 3 môn thi là Toán, Ngữ văn và Ngoại...
Hướng dẫn cách giải phương trình quy về bậc hai lớp 10 nâng cao
1. Lý thuyết chung về bất phương trình bậc 2 1.1. Định nghĩa Bất phương trình bậc 2 ẩn x có dạng tổng quát là $ax^2+bx+c<0$ (hoặc $ax^2+bx+c0$, $ax^2+bx+c>0$, $ax^2+bx+c0$), trong đó a,b,c là những số thực cho trước, $aneq...
Tóm tắt lí thuyết và công thức giải nhanh Toán 12 – Trần Quốc Nghĩa
Tài liệu gồm 90 trang được sưu tầm và biên tập bởi thầy Trần Quốc Nghĩa tóm tắt các lý thuyết trọng tâm cùng các công thức giải nhanh trắc nghiệm Toán 12, nhằm giúp các em học sinh khối...
Toán 10 Kết nối tri thức Bài 22: Ba đường conic
Với giải bài tập Toán 10 Bài 22: Ba đường conic sách Kết nối tri thức hay nhất, chi tiết giúp học sinh dễ dàng làm bài tập Toán Hình 10 Bài 22. Giải Toán 10 Kết nối tri thức...
SỞ GIÁO DỤC VÀ ĐÀO TẠO TP. HÀ NỘI
Kỳ thi chọn học sinh giỏi TP các môn văn hóa lớp 9 cấp THCS năm học 2024 - 2025 được tổ chức tại 30 điểm thi thuộc 30 quận, huyện, thị xã với tổng số 200 phòng thi chính...
Đề cương ôn tập Giữa kì 1 Toán 6 Kết nối tri thức
Bộ đề cương ôn tập Giữa kì 1 Toán 6 Kết nối tri thức với bài tập trắc nghiệm, tự luận đa dạng có lời giải chi tiết giúp học sinh lớp 6 nắm vững kiến thức cần ôn tập...
Tích Phân Hàm Ẩn: Lý Thuyết Và Bài Tập Vận Dụng Từ Cơ Bản Đến Nâng Cao
1. Tích phân hàm ẩn là gì? Trong chương trình toán 12, các bạn học sinh sẽ được làm quen với dạng bài về tích phân hàm ẩn. Vậy chúng ta hiểu tích phân hàm ẩn là gì? Hãy cùng...
Tổng hợp Công thức Toán 9 (đầy đủ cả năm)
Việc nhớ chính xác một công thức Toán 9 trong hàng trăm công thức không phải là việc dễ dàng, với mục đích giúp học sinh dễ dàng hơn trong việc nhớ Công thức, VietJack biên soạn bản tóm tắt...
Bài toán lãi kép ôn thi Tốt nghiệp (có lời giải)
Bài toán thực tế lãi kép ôn thi Tốt nghiệp với phương pháp giải chi tiết giúp học sinh ôn tập, biết cách làm bài toán lãi kép. Bài toán lãi kép ôn thi Tốt nghiệp (có lời giải)(199k) Xem...
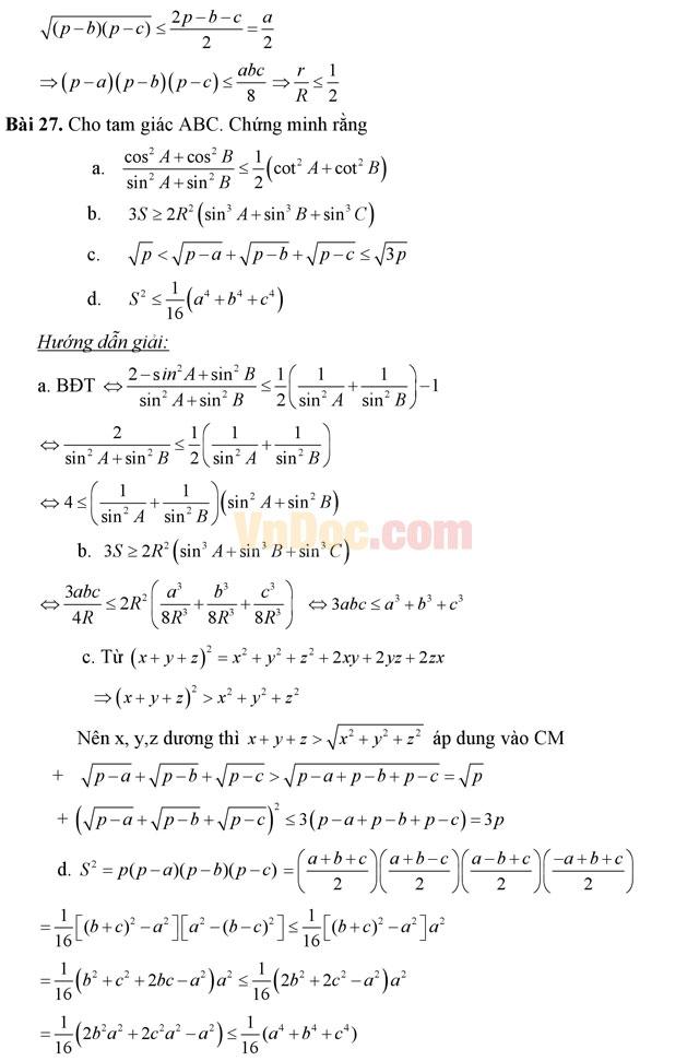
35 bài tập hệ thức lượng trong tam giác có hướng dẫn
Hệ thức lượng trong tam giác là một phần quan trọng của chương trình Toán lớp 10, giúp học sinh nắm vững mối quan hệ giữa các cạnh, góc và đường cao trong tam giác. Nắm chắc kiến thức này...
Lý thuyết Nguyên hàm lớp 12 (hay, chi tiết)
Bài viết Lý thuyết Nguyên hàm lớp 12 hay, chi tiết giúp bạn nắm vững kiến thức trọng tâm Lý thuyết Nguyên hàm. Lý thuyết Nguyên hàm(199k) Xem Khóa học Toán 12 KNTTXem Khóa học Toán 12 CDXem Khóa học...