Bộ Đề Thi Cuối Kì 1 Toán 10 chương trình mới có đáp án
Bạn đang tìm kiếm giải pháp tối ưu để làm chủ toàn bộ kiến thức Học kì I môn toán 10, đặc biệt là các chuyên đề từ mệnh đề, hàm số đến hình học vectơ? Việc hệ thống hóa...
Cách giải bài toán xác suất tổ hợp lớp 11 nhanh và chính xác
Cách Giải Bài Toán Xác Suất Tổ Hợp Lớp 11 Nhanh Và Chính Xác Học sinh lớp 11 khi tiếp cận với chương “Tổ hợp - Xác suất” trong chương trình Toán đại số thường gặp rất nhiều khó khăn....
Chinh Phục Môn Toán Lớp 11 Cùng Ebook “Đề Cương Trọng Tâm Toán 11 Kết Nối Tri Thức”
Mỗi chương gồm ba phần trọng tâm: Kiến thức trọng tâm, các dạng bài tập minh họa, và bài tập tự luyện. Phần Kiến thức trọng tâm tóm tắt lý thuyết, công thức, định nghĩa, bảng biểu và hình minh...
ĐS-Chuyên đề 8. HÀM SỐ BẬC NHẤT VÀ ĐỒ THỊ.html
Chuyên đề 8. HÀM SỐ BẬC NHẤT VÀ ĐỒ THỊ A. Kiến thức cần nhớ 1. Định nghĩa Hàm số bậc nhất là hàm số được cho bằng công thức dạng , trong đó a, b là những hằng...
Biểu diễn miền nghiệm của mỗi bất phương trình sau: x + 2y < 3
Giải Toán 10 Cánh diều Bài 1: Bất phương trình bậc nhất hai ẩn Bài 2 trang 24 Toán lớp 10 Tập 1: Biểu diễn miền nghiệm của mỗi bất phương trình sau: a) x + 2y < 3;...
Phương trình chứa ẩn ở mẫu
Chuyên đề Toán học lớp 8: Phương trình chứa ẩn ở mẫu được VnDoc sưu tầm và đăng tải tổng hợp lý thuyết cùng với bài tập phương trình chứa ẩn ở mẫu giúp các em củng cố kiến thức...
Toán 11 Cánh diều Bài 4: Phương trình lượng giác cơ bản
Với giải bài tập Toán 11 Bài 4: Phương trình lượng giác cơ bản sách Cánh diều hay nhất, chi tiết giúp học sinh lớp 11 dễ dàng làm bài tập Toán 11 Bài 4. Giải Toán 11 Cánh diều...
[PDF] Tổng hợp 10+ đề thi thử tiếng Anh THPT quốc gia 2023 chính thức
Thử sức với 12 bộ đề thi thử tiếng Anh THPT Quốc gia 2023 được biên soạn cực sát cấu trúc của đề thi minh hoạ do Bộ GD&ĐT công bố. Đề thi thử tiếng Anh THPT Quốc gia đề...
34 đề thi học sinh giỏi toán 11 cấp Trường Huyện Tỉnh năm 2017-2018-2019-2020
Tuyển chọn 34 đề thi học sinh giỏi toán 11 cấp Trường Huyện Tỉnh năm 2017-2018-2019-2020 (Có đáp án) bao gồm các đề thi hsg trường, tỉnh, đề thi Olympic môn toán lớp 11. Nhằm giúp các em ôn luyện...
CHUYÊN ĐỀ: TOÁN TRỒNG CÂY LỚP 3 - Website Dương Hoàng Anh
Cách giải các dạng toán Trồng Cây lớp 3 Giới thiệu với quý phụ huynh và các em chuyên đề "Toán trồng cây" lớp 3 lý thuyết - hướng dẫn giải - và các bài tập tự luyện để...
Giải SGK Toán 8 trang 47, 48 Cánh Diều tập 1
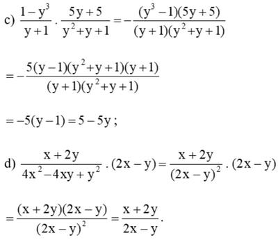
Bài 1 trang 47 SGK Toán 8 tập 1 - Cánh Diều Thực hiện phép tính: (a)dfrac{{3{rm{x}} + 6}}{{4{rm{x}} - 8}}.dfrac{{2{rm{x}} - 4}}{{x + 2}}) (b)dfrac{{{x^2} - 36}}{{2{rm{x}} + 10}}.dfrac{{x + 5}}{{6 - x}}) (c)dfrac{{1 - {y^3}}}{{y + 1}}.dfrac{{5y +...
Lộ trình học Toán lớp 8 theo từng chuyên đề cùng gia sư 1 kèm 1 tại TP HCM
Lộ Trình Học Toán Lớp 8 Theo Từng Chuyên Đề Cùng Gia Sư 1 Kèm 1 Tại TP.HCM: Bí Quyết Chinh Phục Môn Toán Hiệu Quả Toán lớp 8 được đánh giá là giai đoạn “chuyển giao” giữa nền tảng...
Khởi tố, bắt tạm giam Phó Chủ tịch Thường trực UBND huyện và nữ Trưởng phòng Tài nguyên Môi trường
Khởi tố, bắt tạm giam Phó Chủ tịch Thường trực huyện Kiến Xương, Thái BìnhCăn cứ kết quả điều tra mở rộng vụ án “Lợi dụng chức vụ, quyền hạn trong khi thi hành công vụ” xảy ra trên địa...
Phương pháp tính tích phân cơ bản (cực hay)
Bài viết Phương pháp tính tích phân cơ bản với phương pháp giải chi tiết giúp học sinh ôn tập, biết cách làm bài tập Phương pháp tính tích phân cơ bản. Phương pháp tính tích phân cơ bản (cực...